Department of Advanced Materials and Renewable Energy
Department of Technology Development Studies
Department of Mechanical Engineering
Department of Chemical Technologies
Department of Advanced Materials and Renewable Energy
Remote Sensing for Mineral Exploration
Development and application of advanced remote sensing techniques. Utilizing hyperspectral and multispectral imaging, combined with modern data analytics such as machine learning, deep learning, and automated spectral analysis, the Group is enhancing mineral detection and mapping capabilities. This innovative approach enables early-stage exploration by accurately identifying hydrothermal alteration zones, lithological variations, and critical mineral indicators across regional and deposit scales-significantly improving mineral targeting efficiency and success.

Geoscientific Exploration of Critical Mineral Resources
This research focuses on integrating field geology, geochemical analysis, and geophysical surveys to effectively identify and characterize deposits of rare earth elements (REEs), base metals, and other critical minerals. By combining these multidisciplinary approaches, the Critical Minerals and Extraction Metallurgy Group aims to develop comprehensive exploration models and deepen the understanding of ore-forming processes within key metallogenic belts.


Enhancing Cobalt-Based Alloys with Modified Mechanical and Surface Properties for Use in Knee Joint Prostheses – Femoral Component
Researchers: Dr. M. Esmailian, Dr. Sh. Ahangarani
The knee joint is one of the most vital joints in the human body, playing a crucial role in walking and daily activities. With aging and injuries, cartilage degeneration often occurs, leading to functional impairments and joint problems.
Total knee joint replacement remains one of the most effective and widely performed treatment methods for knee dysfunction, especially among the elderly. This surgical procedure is also commonly practiced in our country.
In this study, researchers have made significant advancements in the mechanical properties and biocompatibility of cobalt-based alloys used in knee prostheses, particularly focusing on the femoral component. By incorporating a specially selected element and applying cutting-edge coating techniques, they have markedly enhanced performance and longevity of the prosthesis.

Production of Bioethanol from Carbohydrate Reservoirs of Microalgae
Microalgae with high carbohydrate content are promising candidates for bioethanol production.One of the most critical stages in this process is the pretreatment of microalgal biomass, which enhances cell disruption and increases access to intracellular compounds. In this study, researchers isolated and identified microalgal strains capable of producing high biomass and carbohydrate levels. Among six isolates screened, Chlorella S-4 and Picochlorum D-8 exhibited the highest specific growth rates of 0.189 and 0.215 μ day⁻¹, respectively. Notably, Chlorella S-4 demonstrated advantageous self-precipitation properties, making it a particularly promising strain.
Various cell disruption techniques were tested at the laboratory scale to break down the microalgal cell walls. These included acid-thermal treatment, acid-thermal combined with sonication bath, and acid-thermal followed by freeze-thaw cycles. The effectiveness of each method was assessed by measuring the total carbohydrate content. The results showed that acid-high thermal pretreatment (121°C for 20 minutes) was most effective, yielding maximum carbohydrate contents of 22% and 27% of dry biomass for Chlorella S-4 and Picochlorum D-8, respectively. Corresponding carbohydrate productivities were 7 and 6 mg/L/day. This research aims to highlight the potential of microalgae native to the Persian Gulf as a sustainable source for bioethanol production, emphasizing the importance of optimized pretreatment strategies for maximizing carbohydrate recovery.

Preparation of Fish Vaccines Against Streptococcosis
Streptococcus iniae and Lactococcus garviae are primary bacterial pathogens responsible for streptococcosis in fish, causing significant harm to fish breeders and affecting aquaculture productivity. Vaccination using formalin-killed bacterial vaccines, administered either as an edible vaccine (added directly to breeding pools) or through peritoneal injection, has proven to be one of the most effective methods for controlling this disease. The project was initially conducted at the laboratory scale in the Department of Biotechnology, where various parameters were optimized, including bacterial culture conditions, growth rates, purification of vaccine constituents, and bacterial inactivation.
The primary objective of this work was to scale up the vaccine production to facilitate field studies. Additionally, successfully adapting laboratory-scale procedures to pilot-scale operations was a significant accomplishment. As a result, bacterial strains were cultivated on a 500-liter scale, and the inactivated bacterial biomass, along with immunogenic protein constituents, was formulated, packaged, and applied in breeding ponds of cold-water fish with notable efficacy.
Production of Halal Heparin from Bovine Intestinal Mucin
Heparin is a critical anticoagulant widely used in medical procedures, including the prevention and treatment of deep vein thrombosis (DVT), arterial thrombosis, and pulmonary embolism. It is also employed to prevent clot formation in hemodialysis equipment and during cardiopulmonary bypass, as well as to reduce the risk of thrombosis in high-risk patients-such as those recovering from surgery, experiencing prolonged immobility, or hospitalized. This project involved the extraction and purification of heparin from bovine intestinal mucin using enzymatic hydrolysis. The resulting heparin meets pharmacopoeial purity standards and is both safe and economically viable for large-scale production.

Production of Recombinant Endolysins Against Antibiotic-Resistant Bacteria
A primary focus of research within the Biotechnology Department is addressing the growing issue of bacterial antibiotic resistance. To explore alternative solutions, the department is engaged in designing and producing recombinant endolysins targeted against challenging bacterial strains across various industries, including agriculture, food safety, and healthcare. These projects are being carried out as part of doctoral and master's theses, with a strong emphasis on advancing the technology and paving the way for potential commercialization.

A Green Revolution in Water Treatment: Microalgae for Nitrate Removal and Carbon Sequestration
Nitrate contamination in water sources poses significant environmental and health risks, underscoring the need for sustainable removal methods. Microalgae-based treatment, utilizing Scenedesmus sp. and Chlorella vulgaris, offers an environmentally friendly solution, achieving up to 80% nitrate removal within three days without the need for external carbon sources. Batch experiments revealed that Scenedesmus sp. outperformed Chlorella vulgaris, with optimal nitrate removal rates of 13.6 mg/L/day and CO₂ fixation of 0.36 g/L/day at a 10:1 N:P ratio under continuous light conditions. Continuous operation with a hydraulic retention time (HRT) of three days successfully reduced nitrate levels below 10 mg/L, meeting EPA standards. The implementation of a vertical photobioreactor enhanced light penetration and mass transfer, further improving treatment efficiency. This integrated approach not only facilitates nitrate remediation and CO₂ sequestration but also promotes biomass valorization, demonstrating its scalability for sustainable groundwater management.

Department of Technology Development Studies
Analyzing the Technological Attractiveness and Capability of the Value Chain of Renewable Power Plants and Development of Localization Program
This research evaluates Iran’s renewable power sector by analyzing the technological attractiveness and capability of its value chains in wind and solar energy industries. It assesses barriers to localization-technical, legal, and infrastructural-and offers policy recommendations.
Findings indicate that certain wind turbine components (blades, gearboxes, generators, towers) are highly attractive for localization, with Iran capable of manufacturing some parts (gearboxes, blades) at full design copy levels, and others (generators, towers) at partial design levels. Production capacity for turbines is expected to grow significantly by 2027. In the solar industry, Iran currently only has assembly capabilities, with plans to increase polysilicon, ingots, wafers, and panel production.
The study critiques current policies, noting they lack strategic focus, hinder learning and innovation, and do not effectively promote market development. Proposed policy recommendations include developing large-scale wind and solar projects, establishing specialized laboratories, creating renewable energy incubators and parks, encouraging government and corporate use of local renewable energy, and coordinating existing policies and incentives to enhance localization efforts.
A Comparative Study of the Model for Evaluating Innovation and Commercialization at the National Level: South Korea, Germany, and Canada
This research was conducted through a systematic review of models used for assessing innovation and commercialization at the national level, focusing on South Korea, Germany, and Canada. An analytical framework was developed using a comparative case study approach to evaluate innovation and commercialization processes within these countries. The search process identified a substantial bibliography of 1,061 diverse documents, including academic articles related to commercialization and innovation assessment in the selected nations.
These articles underwent multiple evaluation stages; many were excluded due to misalignment with the research focus. Ultimately, 100 studies were selected for in-depth analysis. Among these, 34 pertained to Iran, 33 to South Korea, 17 to Canada, and 16 to Germany. The selection criteria included publication in reputable databases, comprehensive reporting of relevant information, sufficient quality for factor extraction, analysis, and synthesis, and a clear focus on commercialization and innovation-excluding redundant topics and findings.
Based on the findings, key propositions for evaluating innovation and technology commercialization in the studied countries were identified. The study concludes with comparative insights and proposed measures to enhance the assessment processes of innovation and commercialization in Iran.
Evaluation of Development of Solar Energy Technology in the Payam Special Economic Zone
In recent years, following new policies by the Ministry of Energy and the announcement of renewable electricity purchase tariffs, both domestic and foreign investors have commenced large-scale solar power plant projects. This has resulted in an increase in the country's installed solar capacity to approximately 1,700 MW. The Payam Special Economic Zone has also begun investing in and creating favorable conditions for the development of solar power plants within the region.
This report presents a technical and economic feasibility study for constructing a solar power plant in the Payam Special Economic Zone in Alborz Province, exploring different scenarios. The initial sections introduce solar energy and analyze the value chain of silicon production and photovoltaic power plants. Subsequent sections examine the components of a photovoltaic solar power plant and criteria for selecting these components.
Further, the report provides a technical analysis for designing a solar power plant within Payam SEZ under various technical and economic scenarios. The power plants were simulated separately for different scenarios in Mehrshahr, Alborz Province, using PVsyst software, and the results are detailed in the report.
A comparison of the different scenarios highlights their respective technical and economic implications, with summarized recommendations. Additionally, the report explores the technical and economic feasibility of installing a solar power system on the rooftops of sheds within Payam SEZ, utilizing PVsyst for simulation.
Finally, the report discusses opportunities for international financing through various global funds and outlines conditions for attracting new companies and investors to the project.
Department of Mechanical Engineering
Innovative Step Forward in Energy Efficiency for HVAC Technologies
The Mechanical Engineering Department of IROST has proudly inaugurated a state-of-the-art Research and Testing Complex dedicated to advancing energy-efficient HVAC systems. The comprehensive approach encompasses the development of industry standards, rigorous regulatory oversight, and thorough energy performance evaluations. Accredited laboratories within the complex provide vital validation services to manufacturers, innovators, and stakeholders, ensuring that new technologies meet the highest energy efficiency benchmarks.
In addition, specialized training programs has been launched to elevate national expertise in testing protocols and energy optimization practices. Through strategic collaboration with the National Standards Organization, IROST serves as an authorized testing partner, reinforcing its role in driving industry-wide standards and excellence.
Pioneering Research and Standardization in Heating Technologies
The Mechanical Engineering Department of IROST proudly established a neutral, nationally recognized center dedicated to testing and standardizing combustion-based heating systems. This cutting-edge facility advances energy-efficient innovation through comprehensive research services and rigorous product certification processes.
The center has spearheaded key initiatives, including the development of boiler room inspection protocols and the enhancement of burner technology, contributing significantly to industry standards and safety. In partnership with universities, manufacturers, and R&D centers, the center provides expert testing, and technical consulting to support the development of high-quality, energy-efficient heating solutions.
Additionally, the center’s specialized training programs equip quality control managers, specialists, and technicians across the country with the latest skills and knowledge essential for maintaining excellence in heating technology standards.

Standardized Performance Testing for Ground and API Pumps
The Department of Mechanical Engineering has established a specialized laboratory dedicated to the standardized testing of ground-mounted and API-class pumps. Equipped with advanced infrastructure and staffed by highly skilled technical experts, this facility is capable of conducting hydraulic performance acceptance tests for a wide range of pumps, including submersible, ground, and API types.
The laboratory plays a critical role in ensuring precise measurement of energy consumption, fully compliant with energy labeling protocols. By supporting manufacturers in aligning with both national and international efficiency standards, IROST helps drive industry excellence and sustainability.
With a focus on accuracy, reliability, and regulatory compliance, IROST’s testing center fosters innovation and quality in pump technology, contributing to more efficient and environmentally-friendly pumping solutions worldwide.

Iran’s First Vertical Wind Tunnel for Freefall and Recreational Use
The Mechanical Engineering Department of IROST has successfully designed, constructed, and launched Iran’s first vertical wind tunnel dedicated to skydiver training and recreational activities. This pioneering facility represents a significant milestone in advancing domestic capabilities in aerodynamics testing and adventure sports infrastructure.
By enhancing safety, precision, and accessibility for parachute simulation and recreational flying, the wind tunnel offers a cutting-edge platform for indoor skydiving experiences. Its development showcases engineering innovation and cross-disciplinary research in fluid dynamics and control systems, reinforcing Iran’s position in wind tunnel technology.
This project not only elevates the national standard for air sports and recreational innovation but also marks a vital step toward achieving self-sufficiency in wind tunnel design and aerodynamic research.

Development and Commercialization of High-Frequency Hot-Wire Flowmeters
The Mechanical Engineering Department of IROST successfully designed, manufactured, and brought to market advanced hot-wire anemometers for sophisticated fluid flow diagnostics. These state-of-the-art instruments provide real-time, highly accurate measurements of flow velocity, turbulence intensity, and other dynamic flow parameters.
With a high-frequency response capability reaching up to 30 kHz, these flowmeters enable detailed characterization of unsteady and turbulent flows-essential for both research applications and industrial processes. Their precision and versatility make them an invaluable tool for scientists and engineers working in fluid dynamics, aerospace, and process engineering.
This innovation represents a significant leap forward in domestic instrumentation technology, enhancing capabilities in flow measurement and contributing to the advancement of fluid analysis tools within the country.

Cryogenic Processing System for Advanced Metal Treatment
The Mechanical Engineering Department of IROST has developed a cutting-edge cryogenic metal processing system designed to treat materials at ultra-low temperatures. This innovative technology enables precise thermal protocols that significantly enhance the mechanical properties of metals, including improved wear resistance and structural integrity.
By facilitating controlled cryo-conditioning, the system supports both research and industrial applications that demand extreme durability and performance. This advancement not only elevates local capabilities in cryogenic engineering but also contributes to the development of high-performance materials with superior longevity and resilience.

Development of a Patented Vertical Hydroponic Cultivation System
The Mechanical Engineering Department of IROST has designed and constructed an innovative, patented vertical hydroponic system featuring suspended growth platforms for soil-free agriculture. This groundbreaking technology enables efficient vertical farming, maximizing crop yields within limited spaces-perfect for urban and controlled environment agriculture.
The system supports healthy plant development by facilitating dense root networks and optimal nutrient delivery, ensuring robust growth and high productivity. Its scalable and sustainable design offers a practical solution to address food security challenges and promote environmentally friendly farming.
This achievement exemplifies the seamless integration of mechanical engineering with agrotechnology, representing a forward-looking approach to modern, space-efficient, and sustainable food production.
Department of Chemical Technologies
Fabrication and Architecture of Nanostructures for the Degradation of Antibiotic Pollutants and Agricultural Pesticides in Aquatic Environments
The development of next-generation plasmonic photocatalysts for removing contaminants from water using machine learning techniques represents a novel and efficient strategy for addressing challenges related to high costs, time-consuming processes, and potential instrumental errors in experimental approaches. A research team from the Department of Chemical Technologies has made a significant breakthrough in degrading agricultural pesticides and antibiotics in water using visible light, aided by machine learning.
The study employed machine learning models, including Artificial Neural Networks and Particle Swarm Optimization, to predict and optimize the photodegradation of organic pollutants. Additionally, the biocompatibility of the resulting degradation solutions was confirmed through germination tests with wheat seeds.
These findings provide valuable insights into the design of plasmonic nanomaterials and advance intelligent decision-making and optimization in environmental pollutant removal processes. The results of this research have been published as a research paper in Colloids and Surfaces A: Physicochemical and Engineering Aspects. Due to the significance of the topic in environmental science, technology, and agriculture, the paper was selected as a cover feature for the journal.
Preparation and Investigation of Wood-Plastic Composite Properties (Plywood) Using Waste HDPE as a Substitute for Urea Formaldehyde Resin
This research investigated the possibility of using recycled high-density polyethylene (HDPE) as an alternative to formaldehyde-based adhesives in the production of three-layer composites. Given the toxicity and carcinogenicity of formaldehyde present in conventional resins such as urea formaldehyde, finding safe alternatives has been essential. The effects of various parameters including HDPE grammage, temperature, and pressing time on the physical and mechanical properties of composites were studied. Results showed that composites produced with HDPE had mechanical properties comparable to conventional adhesives, with shear strength ranging from 0.82 to 1.60 MPa, meeting European standards. Optimal conditions were determined at 240 g/m² grammage, 160°C temperature, and 5 minutes pressing time, and ultimately recycled HDPE was introduced as a suitable alternative to formaldehyde-based resins.
Modification of cellulose nanofibers for the fabrication of filters absorbing air pollutant particles
This research focused on developing biodegradable filters for air pollution reduction using cellulose nanofibers as an alternative to non-degradable synthetic filters. Cellulose nanofibers were selected for this purpose due to advantages such as low cost, low density, network structure, and biodegradability. To improve the performance of suspended particle absorption, the nanofiber surface was modified with titanium dioxide at different concentrations (1, 1.5, 2, and 2.5 percent), and their properties were examined using various analytical techniques. Results showed that increasing titanium dioxide concentration led to increased specific surface area and density, while decreasing porosity and pore diameter. The best performance with 100 percent suspended particle absorption and the lowest pressure drop (58 kPa) was achieved by nanofibers modified with 2.5 percent titanium dioxide, demonstrating that these nanofilters not only exhibit high performance but are also biodegradable and environmentally friendly.

EDX results of (a) pure cellulose nanofibers, (b) cellulose nanofibers modified with 1% titanium dioxide, (c) cellulose nanofibers modified with 1.5% titanium dioxide, (d) cellulose nanofibers modified with 2% titanium dioxide, and (e) cellulose nanofibers modified with 2.5% titanium dioxide
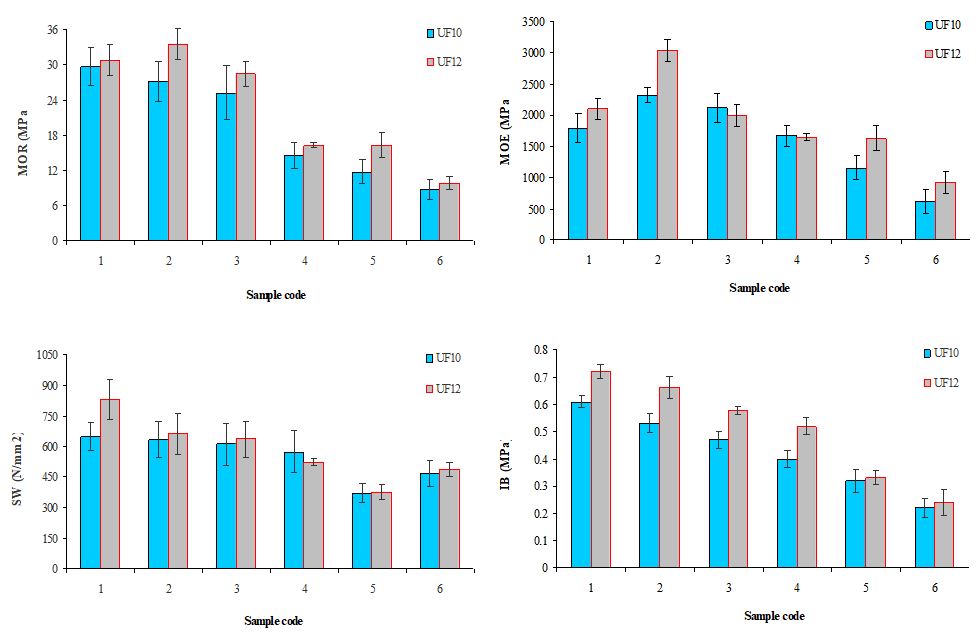
Using De-inked Paper Sludge for Sustainable Production of Medium Density Fiberboard
De-inked paper sludge (DPS) is an abundant solid waste resulting from paper recycling that creates numerous disposal and elimination problems. This research aimed to convert DPS into value-added medium density fiberboard (MDF) in line with circular economy objectives. MDF panels were manufactured with mixed hardwood fibers, different levels of urea-formaldehyde resin (10, 12 wt%), and various amounts (0-50 wt%) of DPS. XRD testing revealed defective fiber crystals in DPS. Contact angle measurements confirmed weaker wettability of DPS, which was consistent with increased water absorption. With increasing DPS amounts, mechanical properties showed gradual reduction due to fine fibers and poor adhesion of the wood fiber matrix, concurrent with intensification of surface defects as shown by scanning electron microscope images. Increasing resin content significantly enhanced internal bond strength and reduced moisture absorption at all DPS levels. At 50 wt% DPS, properties decreased by 36-57% compared to control MDF. Furthermore, thickness swelling and water absorption increased significantly with increasing DPS due to hydrophilic fibers. Based on optimal conditions, 20 wt% DPS with 12 wt% resin balanced performance, waste utilization, cost, and moisture resistance.
Mechanical Properties of MDF Panels with Different DPS Contents
Production of Oil and Protein Hydrolysates from Sesame Seeds Using Enzymatic Methods on a Pilot Plant Scale
Sesame (Sesamum indicum L.) is one of the most important oilseeds globally, predominantly cultivated in Asian and African countries. Typically, sesame seeds contain between 42-54% oil and 22-25% protein. Conventional oil extraction methods rely on the toxic solvent hexane, which can compromise the quality of the extracted oil.
This project employed an enzymatic extraction process using proteases and carbohydrate hydrolases within an aqueous phase to efficiently separate oil and protein. This environmentally friendly, safe, and cost-effective method offers a sustainable alternative to traditional solvent-based extraction.
Microencapsulation of Essential Oils by Spray-Drying for Use in the Food Industry on Laboratory and Pilot-Plant Scales
In this project, essential oil was microencapsulated using a two-layer wall system. Sodium caseinate protein served as the primary wall layer (core), while maltodextrin-potentially combined with stabilizing agents such as gum Arabic-formed the secondary wall layer. The liquid containing the essential oil was then subjected to spray drying, resulting in the production of essential oil microcapsule powder.
Sorbitol Powder Production on a Laboratory Scale
Sorbitol as a sweetener is used in a wide range of low-calorie food products. Despite its desirable properties and widespread use, the crystallization process of sorbitol is still one of the most complex and difficult processes. In the present study, the crystallization behavior of sorbitol syrup (including concentration, process temperature and pressure, ratio of nucleating compounds to the mother liquor, cooling temperature and crystallization time) for use in food industry (specifically in chewing gum formulation), has been studied and according to the required characteristics (homogeneous and uniform white color, maximum moisture 1%, sorbitol content 98%, reducing sugars less than 0.3%, pH in the range of 5 to 7), was optimized.
Synthesis of Poly(Lactic-co-Glycolic Acid) with Controlled Sequence
Poly(lactic-co-glycolic acid) (PLGA) is a synthetic copolymer of polylactic acid (PLA) and polyglycolic acid (PGA) that has been widely used in medical applications due to its biocompatibility, tunable degradation rate, mechanical properties, and thermal processability. PLGA has been approved by the United States Food and Drug Administration (FDA) for human treatment and can be formulated into various forms such as membranes, scaffolds, hydrogels, nanoparticles, microparticles, and sponges. Several commercial products of PLGA are available on the market. Despite the numerous valuable applications of this polymer, its synthesis has not been reported or carried out within the country so far. The synthesis of monodisperse high molecular weight PLGA has been a subject of interest due to its benefits for various biomedical applications. One of the undesirable aspects of the ring-opening polymerization (ROP) of LA and GL is the large difference in reactivity between the two monomers. PLGA copolymers can be synthesized by various condensation and ring-opening methods. Due to the high cost of lactide and glycolide as precursors for this polymer and their unavailability in the country, in this project, the copolymer synthesis was optimized through condensation polymerization by optimizing the reactants, catalysts and reaction conditions to achieve high molecular weights.

Stabilization of Tarragon Essential Oil by Nanoencapsulation Method to Produce Powder Sample for Use in Aqueous Media
In successive years, plant compounds such as essential oils are used in the construction and food industries as potential alternatives to the use of chemicals due to their wide range of biological medicinal activities. The growing consumption in the society for the consumption of natural products with low toxicity leads to new research and industrial directions in the use of essential oils. Essential oils are unstable and very sensitive to external factors such as light, heat, temperature and humidity. Volatility and high reactivity of these compounds show challenges for the applications of essential oils in industry. To overcome these limitations, the microencapsulation technique characterizes the functional and biological properties of these compounds and controls their release. Due to the instability of tarragon essential oil and its taste change over time, the use of this essential oil as an additive in food and beverages is limited. Therefore, in this research, tarragon essential oil encapsulation is considered in order to increase its stability for use in food products.
Synthesis of Metal-Free Catalyst for Persulfate-Based Advanced Oxidation Process and its Application to p-Nitrophenol Pollutant Removal
The replacement of metals in catalytic processes is highly demanded to improve sustainability and economic growth. The poor stability and metal leaching are the main drawbacks of metal-based catalytic reactions. This work represented the use of nitrogen and sulfur-co-doped mesoporous carbon material as metal-free catalyst for the degradation of 4-NP as a priority pollutant announced by the Environmental Protection Agency through the persulfate-based advanced oxidation process. The synthesis of P(2-AT) to make porous carbon material doped with nitrogen and sulfur was done through chemical oxidation method. To ensure the metal-free nature of the prepared catalyst, among the various polymer synthesis methods, rapid mixing polymerization of 2-AT using acetic acid as dopant and sodium hypochlorite as oxidant was selected. The recyclability and stability of the catalyst have been evaluated for three runs. Owing to the obvious benefits such as high efficiency, metal-free nature, and recyclability, the presented catalyst can improve pollutant removal from aqueous media and practical environmental remediation.

Breakthrough in Sustainable Rare Earth Recovery Boosts Catalytic Converter Performance
A team of researchers from the Department of Chemical Technologies has achieved a major milestone in sustainable resource utilization. They have developed an innovative process to extract rare earth elements (REEs) from phosphogypsum—a byproduct of phosphate fertilizer production—and transformed this concentrate into a high-performance catalytic washcoat for automobile catalytic converters. This novel coating demonstrates superior properties and performance compared to commercially available alternatives.
Phosphogypsum, typically regarded as industrial waste, is generated in large quantities worldwide and presents significant environmental challenges due to storage concerns. By repurposing this material as a secondary source of critical rare earth elements, the researchers have addressed both environmental issues and the rising demand for these materials in high-tech applications.
The process involves advanced chemical and physical extraction techniques to obtain a high-purity REE concentrate suitable for industrial use. This concentrate was then utilized to formulate a cutting-edge catalytic coating, playing a vital role in reducing vehicular emissions. Rigorous testing has shown that the new coating exceeds commercial counterparts in catalytic efficiency, durability, and thermal stability—offering a promising solution to meet stringent global emission standards.
This breakthrough holds far-reaching implications across industries such as renewable energy and electronics, where rare earth elements are essential for manufacturing wind turbines and electric vehicle batteries.
The Department of Chemical Technologies is actively seeking collaborations with industry partners to scale up this process and integrate the technology into commercial production. This advancement highlights Iran’s growing contribution to sustainable technologies and its commitment to addressing environmental challenges on a global scale.
Development of Short Path Molecular Distillation Technology for Vegetable Oil Physical Refining and Essential Oil Deterpenation
Short Path Molecular Distillation (SPMD) is an advanced, green technology that enables chemical separation under high vacuum and low temperature conditions. It offers high efficiency without the use of harmful chemical solvents, making it suitable for purifying heat-sensitive compounds with short retention times. Following the design, construction, and commissioning of a bench-scale SPMD unit, its capabilities were evaluated in two key industrial applications. The first application focused on deacidification, specifically the separation of free fatty acids (FFAs) from vegetable oils. Deacidification is a critical and challenging step in producing high-quality edible oils. Experimental results demonstrated that the SPMD process could effectively purify Lampante olive oil and Camelina oil, achieving deacidification efficiencies of 85% and 70%, respectively. The second application involved deterpenation of various essential oils to improve their quality and increase their value. The results showed that undesirable components, including light hydrocarbons such as terpenes, could be readily and successfully separated. This process resulted in high-quality essential oils enriched with desirable oxygenated compounds.
Novel Platinum-on-Alumina Catalyst for High-Efficiency Hydrogen Recombination
The researchers have developed a cutting-edge platinum-on-alumina catalyst designed to efficiently recombine hydrogen gas into water under ambient conditions of temperature and pressure. This catalyst operates with high performance even in challenging environments, maintaining stable functionality across a wide temperature range from -10°C to 60°C.
Initially optimized for use in lead-acid batteries, the catalyst effectively prevents hydrogen gas emissions during battery operation, significantly reducing electrolyte water loss and enhancing battery safety and lifespan. Beyond lead-acid batteries, its robust design and versatility make it suitable for various other industrial and environmental applications where hydrogen management is critical.
Key advantages include:
-- High-efficiency hydrogen recombination at ambient temperature and pressure.
-- Reliable operation in harsh environmental conditions, from sub-zero to elevated temperatures.
-- Significant reduction in maintenance costs and improved safety in lead-acid batteries.
-- Potential applicability across multiple sectors requiring hydrogen gas control.
Alumina Production from Alunite
Alumina (Al₂O₃) is a crucial ceramic material widely used in aluminum manufacturing, catalysts, and electronic components. The traditional Bayer process, which employs bauxite as the primary raw material, remains the standard method for producing metallurgical-grade alumina. However, with the global decline in bauxite reserves and the increasing demand for alternative sources, exploring lower-grade minerals has become a priority.
This project focuses on the extraction of alumina from alunite (KAl₃(SO₄)₂(OH)₆). The research progresses from laboratory-scale experiments to pilot-scale operations, aiming to develop comprehensive technical know-how for efficient and sustainable alumina production from alunite.
Development of new generation composite additives to improve mechanical and Performance properties Stone Matrix Asphalt (SMA)
New-generation composite stabilizing additives for Stone Matrix Asphalt (SMA) have been successfully developed, formulated, and evaluated at a semi-industrial scale. These innovative additives incorporate recycled waste from various industries. The main objective of this endeavor was to acquire the technical expertise needed to produce these additives domestically. This strategic move aimed to achieve self-sufficiency in production and reduce the country's reliance on imports, a goal that was successfully accomplished. The newly developed products offer significant advantages: they not only have lower production costs but also exhibit superior stabilizing capabilities when compared to popular imported alternatives such as FT75. Additionally, their use can lead to enhanced moisture durability, extended fatigue life, and improved elastic modulus for stone mastic asphalt. They also effectively reduce rutting and boost dynamic creep resistance.
These advanced stabilizers are now in industrial production and sales and are actively being incorporated into the asphalt formulations used for the country's highways.
Solid Hydrogen Carriers based on hydroborates
Combination of Liquid and Solid Hydrogen Carriers: Liquid hydrogen carriers include 12.5% hydrazine hydrate and 17.6% ammonia solution. Solid hydrogen carriers include 18% closo-dodecahydroborates. Compounds synthesized in this research, such as (N₂H₅)₂·B₁₂H₁₂ and (N₂H₅)₂·B₁₂H₁₂·2N₂H₄, contain more than 30 % hydrogen by weight. These compounds are stable and do not hydrolyze spontaneously; they begin to release hydrogen at temperatures above 200 °C.
Graphic abstract: a) Synthesis of cesium closo dodecaborate salt from sodium borohydride, b) Synthesis of hydrogen-rich compounds including hydroborate and hydrazine, c) Administration of stable and safe solid compounds inside the cartridge, d) Hydrogen consumption by vehicles, e) Cartridge recharge.
Microbial Inhibition Assay in Microplates Shows Promise for Detecting Antibiotic Residues
The presence of antimicrobial drugs beyond maximum residue levels (MRLs) in animal products can pose health risks, including allergic reactions and the development of antimicrobial resistance.

To address this concern, the researchers at the Iranian Research Organization for Science and Technology (IROST) focused on assessing the detection limits of the microbial inhibition assay (MIA) for two commonly used antibiotics: enrofloxacin and sulfamethazine. The study analyzed kidney, liver, and muscle samples from broiler chickens, using agar media infused with sensitive microorganisms, pH indicators, and other additives.
Samples spiked with known amounts of the antibiotics were examined after 3.5 hours of incubation by measuring absorbance changes. The results demonstrated that the detection limits of the assay for both antibiotics were at or slightly below the EU-MRL standards. Notably, the MIA showed higher sensitivity toward sulfamethazine compared to enrofloxacin. Importantly, no false-positive results were observed throughout the testing.
These findings suggest that the microbial inhibition assay evaluated in this study could serve as an effective tool for monitoring antibiotic residues in poultry products. Its capability to detect residues at or below regulatory threshold levels underscores its potential role in ensuring food safety and protecting public health.
“Interdisciplinary Collaboration to Understand Pest Overwintering: A New Perspective on Survival Mechanisms in Nature”
A groundbreaking collaborative study has advanced our understanding of how insect pests survive the harsh winter months, with important implications for pest management and forestry conservation. The research, conducted by scientists from entomology and materials science at the Iranian Research Organization for Science and Technology (IROST), focused on the overwintering behaviors of two key oak pests: the acorn moth and the acorn weevil. These species were studied in their natural habitats in Iran’s Zagros oak forests and Switzerland’s Landquart oak forests.
Traditionally, pest control strategies have paid limited attention to the overwintering phase, despite its critical role in shaping pest populations for the coming season. Effective management during this period-particularly by targeting overwintering insects-can significantly reduce pest numbers before the new generation emerges in spring, ultimately lowering crop and forest damage.
A central focus of the study was the role of antifreeze proteins-unique biological compounds that enable insects to survive sub-zero temperatures. These proteins exert a property known as thermal hysteresis activity, in which they alter the difference between melting and freezing points in a non-colligative manner. To detect these proteins, researchers measured thermal hysteresis activity in insect hemolymph samples, employing cutting-edge methods like differential scanning calorimetry (DSC), a technique traditionally used in materials science but increasingly valuable in biological research.
Using sophisticated equipment such as ICP-OES and DSC, the team analyzed physiological and biochemical changes in the insects throughout the overwintering period. The goal was to understand their cold tolerance mechanisms better, with an eye toward developing more effective, targeted pest control strategies. This research holds particular significance for the Zagros forests, where managing pest populations is crucial for maintaining natural forest regeneration.

Sustainable Vegetation Recovery on Metal-Contaminated Soils through Soil Amendment Technologies
A groundbreaking study has introduced a sustainable method to rehabilitate soils contaminated with heavy metals, specifically targeting lead and zinc mine residues. The research combines advanced plant-based strategies with soil amendment technologies to promote ecological recovery and environmental safety.
In this initiative, specially selected stress-tolerant plant species are cultivated on contaminated substrates treated with eco-friendly materials such as biochar, lime, and mycorrhizal fungi. These amendments aim to reduce the mobility of heavy metals, thereby curbing their spread into the surrounding environment. Moreover, the approach encourages healthy root development and fosters the establishment of a resilient, stable vegetation cover.
The project also employs various ecological indicators to monitor progress, providing valuable insights to guide future land reclamation efforts. By addressing both the ecological safety concerns and the practical aspects of restoring degraded mining sites, this research paves the way for more sustainable and effective remediation practices in the industry.
